

The cholesterol issue is the most disputed topic in nutrition science, and perhaps all of science. The amount that has been written and published on this issue could fill libraries. In this multi-part blog series though, we are here to write some more. We'll try to cover everything briefly. The entire literature on this topic is so vast, it could take one over a decade to go through it completely. And indeed, investigative health journalist, Nina Teicholz claims it took her 15 years of research to author her groundbreaking book The Big Fat Surprise, which has had a big impact on upending the old paradigm.
Cholesterol is a lipid(a fatty substance) found in our bodies. It is an essential component of our body and serves multiple vital functions. It is involved in the production of vitamin D, bile, and multiple hormones. It is an important component of our cell membranes.
So what’s the “issue” with it? Consider these foods: Red meat, egg yolks, butter, ghee, full-fat dairy and animal fats. These are some of the most nutritious(and delicious) foods on the planet, yet you’ve probably always been told to avoid them. Been told that they’re unhealthy and will give you heart disease. These notions all originate from a single hypothesis that originated in the 1950s in America, called the Diet-Heart hypothesis or the Lipid hypothesis, which proposes the following:
This particular hypothesis has been the biggest bone of contention in nutrition and medical science for the last 70 years. The proposed mechanism behind it is that a higher blood cholesterol level causes the deposition of plaque on the artery wall, leading to atherosclerosis (narrowing of the coronary artery which may lead to heart attacks).
In this article, we are going to unpack this hypothesis and try to ascertain its validity as it stands today.
Starting out, we would like to point out the absurdity of the hypothesis right at its inception. The hypothesis was formulated in the mid-1900s as a response to the rate of heart attacks that started rising very significantly that century. People were confused and looking for answers. And what finally came to be accepted is this theory that basically proposed that the foods Americans had been eating for hundreds of years had suddenly started to kill them for some reason. Red meat, eggs and animal fats like butter, lard and tallow were the staple food over there for hundreds of years until then. After the establishment of this hypothesis, they started to get replaced by unsaturated industrial fats in a major shift.
Let us go through the 3 points of the hypothesis one by one. In doing so, what you would notice, is that the level of validity decreases with each point. And you can see that it is the third and final point which actually matters. Because that’s the resulting conclusion that serves as a dietary guideline for the public. This, in a nutshell, is why this hypothesis is a failure. The end result is wrong.
Our serum cholesterol levels are measured in 3 main readings: LDL cholesterol, HDL cholesterol and total cholesterol. The cholesterol in our bodies is transported by protein structures in our blood called lipoproteins. As per the existing mainstream paradigm, LDL (low-density lipoprotein) is “bad cholesterol” and HDL (high-density lipoprotein) is “good cholesterol”. Therefore, a low reading of the former and a high reading of the latter is considered good. For total cholesterol also, a low reading is considered optimal.
But it’s the LDL cholesterol reading, specifically, that is the main point of dispute. This is what the existing paradigm focuses on as the main heart disease risk factor and that is what is disputed.
Dietary cholesterol, for around 75 per cent of the population, has no effect on blood cholesterol. Around ⅔ of the cholesterol in our bodies is actually produced by the liver and only the remaining ⅓ comes through diet. The liver is very efficient in modulating its cholesterol production according to our intake, which is why we don’t see an effect of dietary cholesterol in blood readings. There are studies showing that when cholesterol is added to the diet of people on cholesterol-free diets, we see a rise in blood readings but not when added to the diets of regular people. The smaller 25 per cent who do see a rise in blood cholesterol with added dietary cholesterol(“hyper responders”) see it to a small extent usually and it’s most often also accompanied by a rise in HDL cholesterol as well, thus lowering the LDL-to-HDL ratio which has also traditionally been considered a key heart disease risk marker.
The USDA guidelines have also, since 2020, dropped their caps on cholesterol, so we don’t need to talk much about this one.
The guidelines have dropped both their low-cholesterol and low-fat diet recommendations. However, the low-saturated fat recommendation is one that still sticks around. And that’s what we’ll discuss primarily in this series.
So coming to saturated fats, do they increase LDL cholesterol? This is still disputed by some experts, but it’s hard to do so. And we don’t intend to argue this point either. Most of the short-term studies do show a rise in LDL with the addition of dietary saturated fat. Longer duration studies are few and the data is conflicted. Even anecdotally, we see a lot of evidence for this: it’s common to see people who go on keto or low-carb diets and start eating a lot of saturated fat to then see a spike in their LDL levels.
This, particularly, is the most heavily contested point of the diet-heart hypothesis. Most credible experts on either side of the debate don’t hold a very strong opinion on this. The data on this (which is very, very vast) does not present any strong conclusion either way.
The key point here though, we think, is that looking at the LDL-heart disease correlation is a ridiculous practice. It may have made sense in the mid-1900s when we didn’t have more data. But in 2022, it hardly even matters. It’s just the old paradigm that’s still managed to stick around. There are huge vested interests in both Big Pharma and Big Food that benefit from it.
While there are studies showing an association between high LDL and heart disease and ones that show no association, there are also some studies actually showing a protective effect of higher LDL. That is lower mortality and disease in the high LDL cohort.
And we do also see a temporary rise in LDL levels in people when they suffer from an injury or get an infection, thus further supporting the protective effect characteristic.
High LDL cholesterol is known to have immune-boosting effects also (probably why we see it rise during infections). Familial hypercholesterolemia- which is considered a genetic disorder today causing very high levels of LDL cholesterol has actually been hypothesised to serve as an advantage during evolutionary times, allowing individuals who have the condition to be more resilient to infections.
Children born with a genetic disorder involving abnormally low serum LDL levels are susceptible to very severe infections and need to be supplemented with cholesterol as a remedy.
The million-dollar question. What do you do when you have high LDL cholesterol and should you worry about it. The standard medical treatment is to aggressively treat it of course. Most allopathic doctors will give you statin drugs to lower your LDL and ask you to cut out all saturated fats from your diet strictly. But even among more holistic alternative practitioners who don’t buy the LDL-heart disease hype, there is some hesitation to go ahead and inform a patient to not worry about their high LDL levels at all. Often some general tips to reduce LDL are doled out to patients if they do wish to lower their levels. These include replacing some of their saturated fat intakes with unsaturated fats like olive oil, eating more fibre, eating less and getting more exercise.
As we mentioned above, the approach of focusing on LDL cholesterol in isolation does not make sense. We need to look at a lot of other markers that are much better predictors of heart disease and do a comprehensive evaluation.
The general functional medicine approach is to check everything, even beyond cardiovascular and lipid markers and work on them. This is what we do with all patients for all issues actually: extensive testing and root cause analysis. What we find in most cases, is after our holistic treatment, where we fix the root cause issues, the high LDL cholesterol automatically reverses. This also ties in with what we mentioned earlier about how high LDL cholesterol may be protective and spikes when the patient suffers from an infection or injury. Meaning that after the treatment of the underlying issue, the high LDL reverses.
Common underlying conditions observed with high LDL cholesterol (treatment of which reverses the high LDL) are:
It’s also important to look at all other lipid and cardiovascular markers which are known to be better predictors of heart disease either on their own or in conjunction with others and monitor them. This include:
Apart from blood markers, we also, of course, have tests to directly measure the level of atherosclerosis progression, by measuring the level of artery blockage, if any. Used for high-risk patients, these include a CAC (coronary artery calcium) test and CIMT(carotid intima-media thickness test). These tests are critical because atherosclerosis very often does not present any symptoms until directly causing a heart attack.
We have attempted to list everything here, but most practitioners have their own protocol which includes a specific set of tests only.
“Increased LDL doesn't operate in a vacuum, inflammation must first increase endothelial permeability, which then causes LDL to create a build-up of plaque in the inner membrane of the arteries”
We mentioned in the above list of markers, CRP which is a key inflammation marker.
Thus we see the root of the problem appears to be inflammation, and the arterial plaque buildup is a response to the same. Inflammation or autoimmune conditions are the root cause or at least a big driver for the majority of chronic health issues today. It develops most commonly due to a leaky gut (leaky gut syndrome) and a leaky blood-brain barrier allowing for food sensitivities to develop, and pro-inflammatory foods worsen this condition
This can be reversed very easily in most cases by a holistic functional medicine approach which aims to address the root cause of inflammation in your body and reverse it. As we mentioned above, after doing this the high LDL usually reverses too. This is the reason.
Arterial plaque deposition is influenced by LDL particle size too. The smaller particles are able to pass through the damaged artery endothelium and deposit.
Oxidation levels affect the rate of plaque deposition very significantly as well. Oxidised cholesterol deposits at higher rates as plaque. Maintaining a good ratio of omega-3/omega-6 in the body (avoid high-omega 6 refined seed oils) and eating more antioxidants helps with this. There is a good amount of direct data to support Omega 3 intake leading to better cardiovascular health. This is why omega-3 supplements are very popular for heart health.
From the above, it might appear as though a high serum LDL is reflective of an inflammatory condition and poor health in the body. But this may not always be the case, especially in the case of low-carb diets. As we said, a high LDL alone does not necessarily indicate a problem.
Ketogenic and low-carb diets have drastic effects on the body because they shift the primary fuel source of the body from sugar to fat. Your mitochondrial function is altered and this affects the functioning of every single cell in your body. Naturally, this affects your metabolic and lipid markers as well. But mainstream medicine still fails to recognise this and evaluates blood reports from low carb (or “fat adapted”) individuals through the same lens as they do for regular people on a carbohydrate-based diet. This is a rudimentary error.
On a low-carb-high-fat diet, LDL tends to become very high for some people. And it’s mostly very lean and healthy people in which this is observed- “lean mass hyper responders”. These people tend to be very healthy otherwise, as indicated by other blood markers. And this is very common with high functioning low-carb athletes.
This phenomenon has sparked a lot of interest and research. Dave Feldman and his team at cholestrolcode.com and the guys over at dietdoctor.com have researched and posted extensively about it, if you wish to learn more.
Dave Feldman, a citizen scientist, has become very popular in this field due to his very meticulous scientific experiments with this. One of the most interesting things he initially observed was that after being on a ketogenic diet, his LDL shot up whenever he fasted and it went down when he ate a lot. This is completely contrary to the current mainstream understanding which says that eating less and exercising lower your LDL. Dave has summarised his theories on cholesterol and fat metabolism in low-carb individuals into what he calls the Lipid Energy Model, which he presented at Stanford University and has published about in multiple medical journals.
The theories behind this can be a little complicated to understand and have not yet been widely verified. But the basic crux of it is this: On a low carb high-fat diet, the body is actively using fats (as fatty acids and ketones) from both your diet and your fat tissues for energy at a very high rate. This requires a high rate of transportation of fat stores through the bloodstream. The resulting mechanism for this can cause a greater residue of LDL particles in your blood.
But these are always the larger fluffier LDL particles that don’t usually deposit on your arteries. This can be confirmed by an LDL particle size test. And if your cholesterol oxidation levels are low and other blood markers are sound, then you can be assured you are not at risk.
In the large majority of cases of LDL rise in low-carbers, we also see drastic improvements in metabolic markers, and most of the other lipid and cardiovascular markers which we listed above. Indicating improvements in cardiovascular risk, despite the LDL rise.
This is where the diet-heart hypothesis comes crashing down when reviewed against the literature. Since the introduction of the hypothesis in the 1940s, scientists across the world have run many direct experiments to test if saturated fats cause/aggravate heart disease. And if we look at the randomized-controlled clinical trials, in particular, they have just drastically failed to verify this final and key point of the hypothesis. It has thus been successfully disproved.
The following is from a recent 2020 paper in the Journal of American Cardiology that reviewed all the literature on saturated fat intake. And this is from some of the most established and prominent scientists in the field:
“The recommendation to limit dietary saturated fatty acid (SFA) intake has persisted despite mounting evidence to the contrary. Most recent meta-analyses of randomized trials and observational studies found no beneficial effects of reducing SFA intake on cardiovascular disease (CVD) and total mortality, and instead found protective effects against stroke.”
Almost all the data linking saturated fats to heart disease is epidemiological and many reports have accurately pointed out how the data has selection bias. The most popular epidemiological study that commenced with the inception of the hypothesis in 1947, the Seven Countries Study, has been criticized for leaving out the countries for the study that would contradict the hypothesis.
Some of the other very popular observational studies cited to support the SFA and heart-disease link involve food-frequency questionnaires that are known to be very inaccurate.
To conclude we would just like to highlight once again how wildly outdated the one-size-fits-all approach of mainstream medicine is. To just blindly focus on the singular LDL cholesterol marker and lower it with no consideration for why it may be rising in the first place. And completely ignoring so many of the other more reliable data we have at our disposal today.
If the impact of pushing this hypothesis just meant replacing saturated fats with some of the natural traditional unsaturated fats like olive oil then there wouldn’t be as much of an issue. But what transpired was the widespread adoption of industrially refined seed oils high in omega-6. This has been a huge public health catastrophe.
In the next article in this series, we will be talking about the history of the diet-heart hypothesis and all the cholesterol science, how the existing paradigm has managed to stay on despite so much evidence to the contrary, the vested interests behind it and the impact it has had on our culture and health both globally as well as in India.

The Covid-19 pandemic has had a negative influence on people all across the world. The government imposed several restrictions such as lockdowns & travel restrictions. They provided medical services at the doorstep to prevent the transmission of viruses. Quarantine or home isolation was a major part of the pandemic for societies. This quarantine policy extended for a long duration which caused a disturbance in economic and social life, food security, public health, education and employment. It also disturbed labour conduct, particularly workers’ health and safety. All the crises have affected the physical as well as mental health of people across the world.
Physical activity is important for healthy life and plays an important role in preventing several diseases 1. People's sedentary sitting time had increased as a result of their home isolation. People all throughout the world had reduced their participation in free-time activities such as walking, jogging, playing, and swimming 2. People were unable to attend the gym, resulting in a decrease in physical activity. Long-term sedentary life negatively affects the quality of life. People's physical condition has deteriorated, and many have experienced a loss of energy throughout this time.
People did not have sufficient access to resources, and their food and sleep quality also declined 3. Several research studies have been carried out to determine the impact of lockdowns on various age groups. A study of teenagers in India found that home isolation had a negative impact on their academics, social connections, and physical activity, leading to an increase in stress levels. Within these studies, gender differences were also observed. Females in the study reported compromised academics as a top worry during the lockdown whereas males were more affected by missed physical activities and the socio-cultural barriers 4. Older age people were more likely to miss their medical checkups thereby influencing their overall health.
A study conducted among Chinese people explains a detrimental psychological influence when people were confined to stay at home. These people were facing anger, boredom, loneliness and also psychological symptoms such as depression, stress, and anxiety 5. Adolescent emotional symptoms have been linked to a variety of major mental health outcomes, including suicide, long-term physical health implications, and significant healthcare costs 6. Due to the economical burden and the emotional stress of losing their near and dear ones, young individuals had faced adverse mental health issues. While young individuals were less prone to severe forms of sickness than adults, they had also encountered mental health issues that are predicted to be more destructive in the long term than the COVID-19 infection itself 7.
In the context of the COVID-19 pandemic, older persons as a group, may be considered particularly vulnerable due to physical differences that enhance the chance of negative health outcomes. However, individuals of this age are not equally vulnerable. Some had also observed psychological effects, such as feelings of melancholy, depression, and loneliness, and were mentioned more frequently by those who lived alone 8. In all age groups, problematic social media use and attachment insecurity were two potential risk factors for these psychopathological disorders 9.
Almost all studies found that the pandemic has had a significant influence on many elements of people's lives. This pandemic had infected people to a large extent, increased mortality and adversely impacted physical and mental health. For the current COVID-19 crisis, we call for the development of a real-time information sharing system and mental health awareness which will enhance the ability of public health bodies and related authorities to respond to and understand the social dynamics of information and misinformation about the coronavirus outbreak and control measures. It will also lessen public panic and counterproductive responses that are out of proportion to problem 10.
References:

This question of why rice makes one sleepy has been in the spotlight for many years. But what triggers this sensation of sleep, particularly after eating rice? Has it something to do with any compound which rice contains, Or is it something present in all grains with varying concentrations and its concentration is highest in rice?
Let’s understand the mechanism of how sleep is induced in our body through the food that we consume.
Studies conducted to understand macronutrients or micronutrients which induce sleep in individuals have shown that Tryptophan is the amino acid that is the main neurotransmitter and precursor for serotonin and melatonin 1.
Now, foods with a high GI index (usually high in carbohydrates) increase the serum ratio of Tryptophan and large neutral amino acids ratio (LNAA). Once there is an increase in glucose levels in the blood, the pancreas detects this increase in glucose and releases insulin in the blood system. The insulin is thought to mediate the transport of Tryptophan into the brain. The increased levels of LNAA lead to increased uptake of LNAA into the muscle. This leaves the Tryptophan to be taken up into the brain of the individual1.
Once the Tryptophan enters the brain, it undergoes a biosynthesis cycle for its conversion into serotonin and then into melatonin. Now the melatonin which is synthesised induces sleep behaviour in the brain of the person. It leads to the sensation of sleep experienced after consuming food.
As we have discussed in the above paragraphs, foods high in Carbohydrates increase the tendency of sleepiness with an increase in tryptophan levels. So, why is rice only the culprit one may ask?
Basically, the more the Glycemic index ( the ability of the food to increase the blood sugar level in the blood)2 of the food, the more capacity it has to increase the blood glucose. It leads to an increase in insulin secretion and resultantly increases the levels of melatonin in the brain.
Among the grains which we consume, Rice has the highest Glycemic index. Consuming rice increases insulin levels proportional to the glucose level, leading to easy transport of tryptophan into the brain for melatonin synthesis. Thus, when one consumes rice he or she may feel sleepy due to the mechanism explained above.
So the solution that one can incorporate into their diet is the addition of more proteins when they consume rice. A protein-rich diet has been shown to decrease the levels of Tryptophan and LNAA in the blood. Thus, lowering the uptake of tryptophan into the brain and the synthesis of melatonin in the brain.
If one experiences sleepiness after consuming rice at lunch, hampering their work performance, they can include protein-rich sources in the diet. Including foods such as chicken, fish, and meat in their diet, reduces the tryptophan to LNAA ratio. It decreases the uptake of tryptophan into the brain for melatonin synthesis.
References :

Anxiety is that feeling of heaviness, dread, and fear lodged in your throat and chest. It might cause you to feel restless, have rapid heart rate, sweat and more; the usual symptoms of a person feeling nervous. The only difference is, that you feel this nervousness or anxiousness, to be precise, for even the smallest of matters that others can just let go of as insignificant.
Anxiety is a part of life. It helps you deal with stress. Your body's innate fight or flight response is a direct reaction to an increase in anxiety. But dealing with it regularly is what makes this feeling detrimental. For people with anxiety disorders the feeling of anxiousness can be overwhelming and can negatively affect their daily life.

We function with the help of glands that are present throughout our body, and the thyroid is one such gland that produces hormones that help control the vital functions of our system. The thyroid mainly releases hormones that control our metabolism – the process where the food we consume is broken down into energy. This energy is used to ensure the optimum operation of all organs.
When the thyroid gland doesn’t work properly, it releases either very large or very small quantities of thyroid hormones, leading to severe health problems (1).
In this article, we will look at the different types of thyroid and their symptoms.
1. Hypothyroidism: It occurs when the thyroid gland produces an insufficient quantity of hormones. When there is underproduction of the thyroid hormone, you may feel sluggish, more tired than usual, and develop sensitivity to cold temperatures.
Symptoms of hypothyroidism include:
2. Hyperthyroidism: This occurs when the thyroid gland is over-active and produces more hormones than the body needs. Like hypothyroidism, this condition is also more common in women.
Symptoms of hyperthyroidism include
3. Thyroiditis
Thyroiditis is the swelling or inflammation of the thyroid gland. It leads to over or underproduction of the thyroid hormones. This, in turn, affects our metabolism negatively and messes up the operation of our organs, like the functioning of the heart and regulation of body temperature.
There are three phases of thyroiditis:
The common symptoms of thyroiditis include fatigue, swelling at the base of the neck, and sometimes mild pain in the front of the throat. However, thyroiditis symptoms depend on whether the thyroid hormones are underproduced (hypothyroidism) or overproduced (hyperthyroidism). the symptoms depends on the production of thyroid hormone.
1. Hashimoto’s thyroiditis: It is an autoimmune condition in which the immune system attacks the thyroid gland, which damages the gland, and as a result, it gets swollen. The swollen thyroid may also cause a lump (goitre) to form in the throat. It is still unknown what causes the immune system to attack the thyroid gland, and the condition can take months to detect.
Symptoms of Hashimoto’s thyroiditis: Over time, the thyroid gland gets more and more damaged and cannot produce enough hormones. It leads to hypothyroidism. They are followed by the signs and symptoms of an underactive thyroid gland like tiredness, weight gain, sensitivity to cold, mental fog, muscle aches, loss of libido, pain or numbness in the fingers, muscle cramps, dry or scaly skin, irregular periods, and brittle hair and nails.
Hashimoto’s thyroiditis is more common in women than in men. People with celiac disease, rheumatoid arthritis and type 1 diabetes are more susceptible to developing this condition. If left untreated, it can lead to complications like heart disease, high blood pressure and high cholesterol, to name a few(4). Therefore, consult a doctor if you notice any of the abovementioned symptoms or abnormalities.
2. Subacute thyroiditis or De Quervain’s thyroiditis: Also known as Giant Cell Thyroiditis, is brought on by viral infections like mumps or the flu and their resulting inflammatory reactions. Patients may experience symptoms of hyperthyroidism like neck pain, sweating, heat intolerance and fever. Subsequently, they may encounter symptoms of hypothyroidism, like fatigue, dry skin, intolerance to cold weather and constipation.
Unlike other types of thyroiditis, subacute thyroiditis usually resolves itself spontaneously. However, it is advisable to consult a doctor if any symptoms mentioned above are experienced(5.
3. Postpartum Thyroiditis
It is an auto-immune condition that occurs in women shortly after birth. In post-partum thyroiditis, anti-thyroid antibodies attack the thyroid glands within approximately 6 months of giving birth.
In this type of thyroiditis, thyroid hormone levels rise temporarily (thyrotoxicosis). It results in symptoms of an overactive thyroid gland (hyperthyroidism). This makes the organs of the body work way faster than their capacity. Subsequently, this condition leads to an underactive thyroid (hypothyroidism), which leads to the underproduction of thyroid hormones. It then slows down the functioning of the organs.
However, not every woman with post-partum thyroiditis will necessarily go through both phases.
The symptoms of post-partum thyroiditis depend on the phase of thyroiditis experienced.
This condition is more common in women with anti-thyroid antibodies, women who have a family history of diabetes and thyroid, and women with type 1 diabetes.
Women should ensure regular post-partum check-ups with their gynaecologists to screen themselves for this condition and treat it early. In most women, thyroid function returns to normal within the first 12 months of giving birth(4).
4. Radiation-induced thyroiditis: This is usually caused by external radiation used to treat some cancers. It can also be caused by radioactive iodine treatment given to an overactive thyroid gland. Symptoms of either hypothyroidism or hyperthyroidism may follow in this type of thyroiditis.
5. Acute or Infectious thyroiditis is usually caused by a bacterial infection and is more common in people with weak or compromised immune systems. It is more common in children and can impede the development of the thyroid gland in them. Symptoms of infectious thyroiditis include a lump in the neck, pain in swallowing, fever, chills, swollen lymph nodes, and a sharp onset of pain in the neck(5).
If left unattended, this type of thyroiditis can worsen at an alarming rate. Go to a trusted doctor immediately if you notice any of these symptoms.
One thing that stands out from this brief overview of types of the thyroid is that most of these conditions are caused due to a weakened immune system and improper nourishment of the body. Thanks to modern science, treatments are available for almost all diseases. There are several side effects of all the medications we mindlessly pop.
In addition to seeking proper medical advice, it is important to address the root cause of all diseases and reverse the patterns that cause them in the first place. iThrive’s mission is to spread correct information about proper nutrition and how the right foods can be your medicine if you eat them according to your individual needs. If you have thyroid dysfunction and want to reverse it using the Functional Nutrition Approach, visit iThrive’s website and book a consultation with us. You can also read our blogs for healthy recipes and general tips on leading a holistic lifestyle.

Sodium Chloride is a very important chemical compound in nature. It induces a characteristic taste in us that we describe as “salty” and we call this compound “salt”. Humans and animals crave this taste very highly and resultantly salt has been a very highly valued commodity all throughout our history and evolution, across all cultures around the world.
Throughout pre-historic times, animals would create paths to salt licks(natural deposits of salts that animals go to “lick” and derive essential minerals). Humans developed settlements around these salt licks.
Its importance is reflected in our language too. The word “salary” is derived from the Latin word “salarium” which meant the money allotted to Roman soldiers for the purchase of salt. The expression “worth their salt” is very popularly used to denote value. There are many other examples.

In modern times though(since the last 50 years to be more specific), salt has been largely demonized. Lowering salt intake has been a general health guideline and higher salt intakes have been said to cause hypertension and cardiac issues. This might appear to be just another case of us going overboard with yet another thing in this age of abundance. But as it turns out, the actual story is a little more complicated for this one. Because the idea that a higher salt intake is bad for your health is another big myth created by modern medicine. One that has been going around for decades despite very strong evidence to the contrary, especially in the last 10-20 years. But, as we’ve mentioned earlier, paradigm shifts are always difficult in medical science and this one is a big example of that.
Let’s proceed to look into the problems cited with a higher salt intake and the evidence around them. The primary issue with a higher salt intake is said to be hypertension, which in turn causes cardiac issues, kidney issues, and brain stroke among others.
Hypertension is defined as a health condition where the pressure exerted by your blood on the walls of your arteries and vessels is chronically high.
This is definitely a problem and it can indeed lead to the aforementioned issues. Hypertension does not usually cause symptoms, at low to moderate levels. At higher levels, it may cause symptoms like headaches, dizziness, flushing, nosebleeds, tremors, and irregular heartbeat among others.
Hypertension is a highly prevalent condition:
Salt intake is still considered the primary cause of hypertension, and hence there is a huge push to reduce salt intake in the population, and official health guidelines everywhere strongly emphasize the same. WHO Member States have signed an agreement to reduce the global population’s intake of salt by a relative 30% by 2025.
As we can see, all of this is based on the single assumption that higher salt intake is the primary cause of hypertension. This is a hypothesis that has never been proven. If we include most of the recent literature, there is actually more data to disprove this hypothesis than to support it. In reality, the case is that there are some people in whom blood pressure rises by increasing salt intake. But this is only a small percentage of the population. And even for people with this particular condition, it’s still ignorant to say that salt causes their hypertension. It’s only a trigger(we discuss salt sensitivity in more detail later).
And beyond this, if we actually take our attention off this singular salt and hypertension link, and look at the effects of salt intake on our health holistically i.e. considering all factors(which obviously is what we should do when trying to determine an intake recommendation for the public), the evidence to support a higher intake is just staggering.
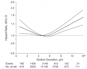
If we look at the correlation between mortality rate and salt intake there is nothing to support the low level of intake that is currently recommended.
The graph between sodium intake versus all health outcomes shows a J-shaped or U-shaped curve. Meaning a moderate intake is the safest. And going too high or too low could cause problems. “Moderate” here is between 4 to 5.99g of sodium, which equates to around 12g of salt. More on exact quantities later.
Epidemiological data seems to support the same. Japanese and South Koreans live the longest and have the lowest rates of heart disease. They consume 4-5g Sodium/day and are the highest salt eating population in the world.
Another report comparing salt intake to heart disease rate shows that increasing intake to a very high amount of 8g Sodium(20g) salt increased heart disease rates by 20% only whereas lowering intake to 2.3g Sodium, which is the current government recommendation, increases it by 50 per cent!

This inverse correlation between heart disease and salt intake may be explained by the following mechanism: we see that when we do reduce blood pressure by lowering salt intake in a patient, their heart rate also goes up. Thus blood pressure x heart rate remains constant even though blood pressure falls. And it is the former that determines the overall load on the heart.
Our kidneys are very intricately designed to function as an intricate system that is able to regulate the sodium content in our blood. This is why we see across different cultures and populations, how humans are able to thrive on very highly varying salt intakes. Healthy people are generally able to adapt to a wide range of salt intakes without a significant change in blood pressure.
Obviously going extreme either way is not optimal, but our kidneys are very capable of eliminating excess Sodium. A deficiency, on the other hand, is more problematic- because Sodium is an essential mineral. Meaning our bodies have no way to manufacture it on their own. In deficient states, our kidneys try to recycle sodium and this actually puts a lot of stress on them.
Low sodium diets harden our arteries thereby increasing cardiac risks. They aggravate insulin resistance(and thus metabolic disease), which in turn is what we now know to be the biggest risk factor for hypertension. So yeah, a chronic low salt intake over the long term can eventually lead to hypertension. This happens due to an adaptive mechanism- a higher insulin level enables our kidneys to retain more sodium.
So while it’s true that a low sodium diet can aggravate insulin resistance, it doesn’t change the fact the biggest drivers of insulin resistance and metabolic disease are still a poor diet high in refined sugars, refined seed oils from processed foods and unhealthy sedentary lifestyle choices. Hypertension is just one of the ways in which metabolic illness manifests itself.
“We have been blaming the wrong white crystal for this problem”
-Dr James DiNicolantonio(world-renowned pioneer in the research of salt intake and author of the bestselling book “The Salt Fix”)
Pregnant women demand more sodium and salt restriction during pregnancy has been shown to be particularly harmful,
Sodium deficiency affects your hormones to create more stress and also drive inflammation.
Doctors and practitioners who do recognise the value of a higher sodium intake have reported from their clinical practice very commonly seeing cases where patients who were put on low salt diets due to hypertension/cardiac conditions, suffered from issues like palpitation and cramps for years. Which went away by increasing their sodium intake.
We use the words “salt” and “Sodium” almost interchangeably in nutrition science, forgetting the other half of salt- Chloride. Where do you think the hydrochloric acid in our stomach comes from? We get the Chloride in HCl from salt. So low salt diets are also a contributor to the condition of low stomach acid or hypochlorhydria, which is rampant in the population today. Low stomach acid causes bacterial overgrowth in the gut and improper digestion, which obviously drives almost all health issues as you may well know.
The US Dietary Guidelines(which is considered a global standard) recommend a sodium intake of less than 2.3g. The American Heart Association recommends 1.5 to 2.3 g.
Note that-
1g of salt contains 0.387g of Sodium
The WHO recommends a salt intake of less than 5g(equivalent to less than 1.9g of Sodium).
Globally our average intake is estimated to be around 9-12g. And 70 per cent of that is estimated to be coming from sodium in processed foods.
So what amount do we recommend?
As per the study whose graph we shared earlier, the optimal dosage came out to be 4 to 5.99g of Sodium = 10 to 15g salt. This is a fairly optimal dosage, we think. But some experts including Dr DiNicolantonio recommend even higher, up to 7g.
Our daily requirement actually varies based on certain changing factors. We lose a lot more sodium when we workout and sweat so it's recommended to increase your intake by around 2g on days you have a heavy workout or just sweat a lot.
There are some health conditions that particularly hamper salt absorption: colon issues like colon cancer, Crohn’s, colitis, and adrenal dysfunction and stress overload, apnea, hypothyroidism. These conditions require further increased salt consumption.
People on low carbohydrate diets require more salt too since our bodies lose a lot of fluid along with their glycogen on such diets. The popularly cited condition called “keto flu” where people feel sick and dizzy when quitting carbs is known to be caused by electrolyte loss, and thus salt water is a well-known remedy to this.
Lastly, we do realize it’s not a normal practice to measure your salt intake. Fortunately, you probably don’t need to. you. Our bodies have a natural appetite for sodium which helps regulate sodium intake. So definitely listen to your salt cravings
So should everyone just universally up their Sodium intake to 4 to 6g if it’s lower? No, because, as we mentioned in the beginning, while as a population a relatively higher sodium intake does appear to be beneficial, there is such a thing as salt sensitivity which is real. It affects a small fraction of the population only. A salt-sensitive person is someone whose blood pressure increases, often quite significantly, with an increase in sodium intake. That is why we would advise people with any tendency for hypertension to track their blood pressure when increasing their sodium intake. Fortunately, blood pressure can be very easily tracked at home by oneself at no extra cost.
It is estimated that among people without hypertension, only 20 per cent are salt sensitive. And even among people with hypertension, it is around 50 per cent.
The good news is that this condition is quite easily reversible in most cases. Even though mainstream medicine refuses to do it. But functional medicine and other holistic practitioners do it quite routinely. Most commonly it gets reversed by fixing the patient’s insulin resistance. In other cases, there is an issue with the kidneys which causes the salt-pressure balance maintenance to be disturbed. There could be other causes too.
Other minerals have also been shown to affect blood pressure. There is a lot of direct evidence to show a higher potassium intake reduces blood pressure. Higher magnesium intake is also said to do this although there isn’t as much direct evidence in this case(Magnesium, in general, is extremely important though and it’s something people are vastly deficient in. So higher intakes are very highly recommended).
If you’re getting a high Sodium intake without getting enough Magnesium and Calcium to balance it out, you could experience issues from it. This is why electrolyte formulations usually contain all three of these in fixed ratios.
Getting more dietary Calcium(through diet, not supplements) has been shown to reduce blood pressure as well.
There has always been a raging contest in the paleo community about how “ancestrally consistent” one is(we’ll never know who won because they probably went off the grid to live in a forest somewhere). In this particular context though, there appears to be a big anomaly: According to anthropology data estimates, palaeolithic humans consumed somewhere around 0.75g of sodium only. For this reason, some people in the paleo community even recommended a low salt diet a while back. But currently, if you’re active in the keto-carnivore space, you know that the overwhelming recommendation is to eat a higher salt diet. And this makes sense because as we previously mentioned, lower carbohydrate diets demand more salt.
It’s not well understood how our palaeolithic ancestors functioned on such a low sodium intake(assuming that indeed was the case). It goes to show that we should not be too obsessed with aping(pun not intended) our palaeolithic ancestors based on sketchy anthropological data. Especially in the face of contradictory data from well-conducted modern-day trials.
Like other carnivores, paleolithic humans presumably got almost all their salt from animal foods, particularly blood. It was only later in the Neolithic era when agriculture of grains started that deliberate salt procurement activities for consumption started.
Considering all of the data on the health effects of salt intake variation, we definitely recommend a much higher intake than the current 2.3g official recommendation. Somewhere around 5-7g, subject to variation based on factors like activity level, sweating and cravings, as mentioned above.
Salt sensitive people though, need to be cautious and carefully monitor their blood pressure when increasing their intake. For extra safety, anyone increasing their salt intake may track their blood pressure when doing so, in case they might be salt sensitive.
And if you are salt sensitive, and thus struggling to increase your intake, there is nothing to worry about. Just reach out to a good functional medicine or holistic practitioner for help. Our team at iThrive is very experienced with hypertension and salt sensitivity. You are welcome to book a short consultation with one of our nutritionists.
Stop fearing the salt shaker. Do be salty.

Anybody who understands the basic concepts of ecosystem and biology knows that the Sun is the fundamental life force for life on Earth. The ancient Egyptians worshipped the Sun as their God(the Sun God, Ra) which was very apt in my opinion. We, as a species, have lived and played under the Sun for centuries since the dawn of mankind. So the idea, that it causes cancer, a modern-day disease is immediately absurd and ridiculous. The rates of cancer have risen astronomically since modernization, and not surprisingly because it is well documented that the most common causes behind this disease are creations and practices that involve unnatural alterations to our environment. Something that has been rampant with industrialization. So where does this idea- that the primary cause behind skin cancer is sunlight- come from?
I would guess it comes from the same place that espoused the ideas that red meat causes heart disease; that the main cause of most illness is viruses and bacteria. Or our genetics. Corrupted science. I don’t want to digress and go down this (very massive)rabbit hole. Let’s just say it is not uncommon for industrial interests to influence science to protect their questionable practices(“Follow the money”). And resultantly shift the blame for environmental and health issues that they might be causing, on natural causes.
I say “I would guess” but that's not what we want to do here, right? So let's put our prejudices away and keep an open mind. And, briefly take a sincere look at all of the evidence and history surrounding this claim:
Skin cancer is the most common form of cancer, accounting for 40 per cent of all cancer cases. Skin cancer kills around 80,000 people a year.
The 3 main types of skin cancer are- basal cell carcinoma, squamous cell carcinoma and melanoma. Of these, the first two are broadly categorized together as non-melanoma skin cancers. These are much more prevalent and usually don’t become serious. Most cases are easily removed and don’t even get added to official records. Melanoma, on the other hand, while accounting for only 1% of cases, is responsible for the majority of deaths from skin cancer. This is the type of skin cancer that actually matters.
The good news? it is now widely accepted that while sunlight may be causing the less serious non-melanoma cancers, it most likely does not cause melanoma.
This is a fairly recent development that happened in the last decade or so following mounting clinical evidence of melanoma cases in parts of the body that didn’t receive any sun exposure. To the point where it became so irrefutable, it is now stated in mainstream medical fact sheets on skin cancer. But as is the case with a lot of things, the old paradigm continues. Paradigm shifts are always difficult in science, especially in cases such as these where the money works against it.
Melanoma cases have risen 3000% since 1970. And we spend a lot less time outdoors than we did in the 70s. Most of us are inside on our computers now and the kids are playing video games. Doesn’t add up, right?
Sunscreens were introduced in the 1970s as well, and the rate of melanoma has only increased with the increase in sunscreen use. So is it the sunscreens that are causing melanoma? Well, we do definitely have some data on mechanisms supporting direct causation. Firstly, it’s been shown that a lot of ingredients in sunscreens are carcinogenic, to varying degrees. And the other point to note is that the initial generations of sunscreens blocked only the UVB rays while melanoma was found to be caused by UVA. The filtering out of UVA rays is said to have possibly aggravated it. Almost all commercial sunscreens are very bad for your health in general, though. More on sunscreens later.
Coming to the main causes of skin cancer cited by official sources as of today. The primary identified cause continues to be UV radiation, from the Sun and other artificial sources such as tanning beds(this is despite them stating, usually on the same page even, that melanoma, the most important form of skin cancer is probably not caused by UV radiation). And resultantly, prevention measures cited in health guidelines are almost all centred around reducing sun exposure- such as wearing hats, full covered clothing in the Sun, not going out during peak daylight, using sunscreen etc. As I said, it’s a whole paradigm and thus hard to change.
Other secondary causes or “risk factors” that are cited include- being fair-skinned, having a weakened immune system, family history of skin cancer and genetics. These are all very valid factors, I think. Skin colour is definitely a huge factor. Caucasian people are estimated to be at risk of skin cancer around 15 times higher than people of colour. This is why skin cancer is a much bigger health concern in white populations but we don’t hear much about it here in India.
Skin Cancer, like any other cancer, involves an uncontrolled growth of cells. This can happen in any part of the skin, and in serious cases, spreads to other parts. This is said to be caused by a DNA mutation. And the claim is that UV radiation is the primary cause behind this mutation.
So how good is the data behind this claim? There is a vast amount of literature on this. It's one of those topics that are very controversial and have a large number of papers on them. None of the data here is very conclusive though. Most of the data involving human subjects is epidemiological. The few clinical experiments that do exist, involve animal studies with artificial UV radiation, often filtering out specific wavelength bands to deduce their effects separately. Apart from these, there are papers that attempt to show the mechanisms that are theorized to be involved in the process of UV light causing DNA damage and leading to skin cancer. These papers might provide valuable insights of their own, but using them to assert that sunlight is the primary cause of skin cancer, based on isolated mechanisms is not sound.
Some of the papers reviewing the data on UV radiation and skin cancer also propose to address the question posed at the head of this article- how is sunlight, which we have had all through our evolution, be causing this modern-day disease? And their answer is something most of us studied in high school- ozone layer depletion. They cite data that allegedly shows that these chemicals, CFCs and HFCs, which are emitted mainly by air conditioners, refrigerators and aerosol cans, have been depleting the ozone layer. Due to this, more UV radiation reaches us now than it did earlier.
Personally, I definitely don’t think that the sunlight and skin cancer link is a complete myth. Sunlight is a notable factor in causation. But it’s not the culprit or the primary cause. And I most definitely do not think we should be avoiding the Sun. Most of us today need to be getting a lot more sunlight, when all health factors together and not just skin cancer risk are considered. This is a very common practice in modern mainstream medicine- to focus on isolated mechanisms for formulating health guidelines, while completely ignoring other effects. That is why the alternative healthcare industry is so big on being “holistic”, you must’ve noticed.
Being out in the Sun has a vast array of positive health effects. It creates Vitamin D of course. But the health benefits of full-spectrum white light during the daytime is hugely understated. It boosts your serotonin and cortisol, among other things. It very strongly affects your neurotransmitter and hormone levels positively and corrects your circadian rhythm. This happens not just through your eyes, but even your skin cells which can read light and trigger biochemical reaction chains. Sunlight is a natural antidepressant.

The research on sunlight and cancer(all kinds not just skin) is also very interesting:
“Several recent studies suggest a possible inverse relationship between ultraviolet radiation exposure and risk of non-Hodgkin lymphoma, colon, breast and prostate cancer, and investigators have speculated that this might be due to the higher serum levels of vitamin D stimulated by high lifetime sun exposure. Further, studies conducted within cohorts using stored pre-diagnostic serum suggest that those with high levels of vitamin D have lower incidence rates of a number of malignancies, particularly colon cancer.”
This is from the same paper CDIC paper reviewing the data on sunlight and skin cancer that is cited in multiple mainstream health outlets as evidence for stating that sunlight causes skin cancer. Indeed, Vitamin D is highly anti-cancer. This is why it is important to consider the holistic effect instead of just the DNA-damaging mechanism. Sunscreens block vitamin D too, by the way. This is disputed in some studies but I think it’s safe to say that it does happen to some extent, at least. Most likely to a very significant extent.
Sunlight is a stressor. It creates oxidative stress in our bodies. This is why I say it is a factor in skin cancer causation. But it’s not the primary cause. Natural stressors are a part of our life. But the exposure to them should be in moderation. You probably know about hormetic stressors like fasting and ice baths which are very popular practices in the health space today. In moderation, in the correct quantities, they are very beneficial. But overdo them, and you will get sick. The natural signal to tell when you’re overdoing your sunbath is pretty clear- sunburn. Sunburn is most definitely bad for your skin. And that’s what the research saying UV radiation causes skin cancer also says- that it is the sunburn specifically that greatly amplifies your risk. Sunburn is when the oxidation caused by sunlight in your skin has overrun your body’s capacity.
The correct way to get sunlight is to gradually increase your exposure so you develop a tan that protects you. Melanin is your skin’s natural protector from Sun damage.
I said I don’t think sunlight is the culprit behind skin cancer. So then what is? Of course, it doesn’t need to be a single thing, and in most cases in health etiology, it is multiple factors. But the single biggest cause that I can point to for skin cancer would be diet. There are a couple of specific things in our diet that are particularly important for skin cancer. The first is eating a high antioxidant diet. There is a lot of data showing high antioxidant content in the diet reduces skin cancer risk significantly. The reason behind that is obvious. Since antioxidants help counter oxidative stress.
The second thing is cutting out industrially refined seed oils like soybean, canola, sunflower, rapeseed etc. And switching to healthier natural fats, particularly saturated fats. Thus improving your omega-6/omega-3 ratio. There isn’t much data in the literature on refined seed oils and skin cancer specifically. But the anecdotal evidence here is staggering. If you’re active in the carnivore/low-carb diet space, you’ve probably heard about this. People quit their consumption of these refined oils and experience a drastic drop in sunburning almost instantly. Apart from this, there is a lot of evidence linking these refined oils to cancers in general though. They’re plain carcinogenic.
Of course, even just beyond these two points eating a healthy and more unprocessed diet, in general, is very important too. For a comprehensive review on diet and skin cancer and all that you can do with your diet to minimize skin cancer risk, do check out this excellent article from Mark Sisson, linked below.
The biggest issue with the public health messaging on skin cancer, though, is the recommendation to use sunscreens. That too multiple times a day, since guidelines often ask to re-apply every 2 or 4 hours. This is just flat out health misinformation that harms your health. Mainly because of how bad the average sunscreen product in the market today is.
I already talked a little bit about sunscreens and skin cancer above. But even apart from that, there are a lot of issues with the chemical ingredients and preservatives in sunscreens. They have been shown to cause endocrine disruption and developmental and reproductive disorders. One of the commonly used ingredients is highly anti-testosterone. Of course, effects vary based on the particular product and the ingredients used. I won’t go into details of that.
Another negative aspect of some sunscreens is that while they do block the part of the sunlight that causes sunburn, they don’t stop all of the aggressive rays. What ends up happening is this blocks the natural sunburn from happening that acts as a signal for us to get out of the Sun. So people often stay in the Sun for much longer, unaware that they’re getting skin damage.
Sunscreens have caused massive damage to the coral reefs and marine life too. Because the chemicals wash off from people’s bodies into the water. Thailand banned the use of sunscreen last year for this reason. I’m no expert but I can only imagine how toxic these sunscreens might be if they’re straight-up destroying marine life like this.
The following are quotes from Dr Elizabeth Plourde, who has authored multiple books on the hazards of sunscreens after researching them almost lifelong. From her interview with the Weston A. Price Foundation:
“I’m very grateful as I learnt to scuba dive 50 years ago and got to see the gorgeous corals. It is just breathtaking down there. In fact, I have to remember to keep my mouth shut because it opens up in such awe of gorgeous..all the different animals. And then I got to see them dying. I got to see a beautiful expanse of coral in 1980, where the cruise ship was saying to all the thousands of people unloading every day- ‘put on your sunscreen, put on your sunscreen’. And when I went back in 1985, the entire expanse was totally white..”
“..the chemicals in the sunscreen as well as the preservatives in the sunscreen can kill the corals in 96 hours to the point of being bleached white. And then as I kept investigating what these chemicals do, I became horrified at how toxic they are to all of us..”
“..It’s a multibillion-dollar industry. So they’re not going to give it up easily and they're going to fight it. And these fights in the medical journals of these doctors who said their experiments proved that there was no protection from melanoma and no protection from basal cell carcinoma..they were just ostracized in the journals. But then when you track down who was funding the doctors who were ostracizing them..they were funded by the cosmetic companies and pharmaceutical companies that make the sunscreen”
Same story every time.
So should you never use sunscreens then? I think most people don’t need them in their daily lives. But there could be situations where someone is at high risk of sunburn. Like if you need to be in the Sun for a long duration someday for some reason and especially if you’re light-skinned. But you definitely don’t want the commercial sunscreens. The safest kind is zinc oxide creams with large particles(not nanoparticles which some products have because they can seep into the skin). Check out this article by Chris Kresser(linked below) for product recommendations. Also Dr Saladino(“Carnivore MD”) has said his team is working on launching a zinc oxide sunscreen with saturated fat only. Since refined seed oils are another issue with sunscreens and commercial lotions. They absorb and seep into your skin and bloodstream as well.
To conclude, I’d just like to say that, yeah, the data might be complicated. But just look around you. How many people have serious skin cancer? And how many people have low vitamin D and/or depression?
REFERENCES:

The relentless summer heat is back yet again, and its scorching effects have increased with time. While having access to air conditioners and coolers can help a lot, it doesn’t always do the trick.
Our body needs something to cool it from the inside. Think about it – how well does a glass of chilled water feel when you’ve just come back from a long day in the sun?
But drinking water all day can be a little boring, so let’s take a look at some fun, iThrive special summer drinks that will help you keep cool internally. The best part is that they are not tweaked versions of the good old Nimbu-Paani concoction and have many other benefits, too.
Directions: Take 1 small cucumber, half a bowl of spinach, half a bowl of cilantro (dhania), 1 red apple (skinned and diced), 1 cup of filtered water and blend them all together. Your liver restoring smoothie is now ready to be consumed.
As the name suggests, this summer drink gives respite to your overheated body and helps detoxify the liver by restoring your liver glucose stores.
Its ingredients help your body fight digestive diseases like acid reflux, gastritis, heartburn, and indigestion. Drinking this smoothie regularly can also help you prevent obesity and give you fabulous looking hair and skin.
Directions: Take 2 mangoes and one banana and blend them into a fine mixture. Add 1 tablespoon of chia seeds to this and let them soak for a little while. Garnish with a pinch of elaichi or cardamom and enjoy the deliciousness!
This recipe can be consumed as a pudding or even as a shake – and it is perfect to be used as a meal replacement. In addition to being delicious, mangoes are a great source of magnesium and potassium, which help lower blood pressure and calm the nervous system. Mangoes also help stabilize the digestive system by soothing the stomach lining. They are rich in fiber, which helps prevent problems like constipation. Bananas have excellent antiviral properties and are loaded with minerals like manganese, selenium, copper, boron, molybdenum, and potassium. These minerals can improve heart health and digestive health and help regulate blood sugar levels. (1)
Chia seeds are a great source of antioxidants, protein and fibre and are the perfect addition to this preparation.
Directions: Take 1 avocado, 1 mango, 1 orange, 1 cup of raspberries, half a bowl of spring greens like mixed lettuce or spinach, and a small cup of cashews. Blend these together and add just enough water so that all the ingredients can combine smoothly.
This one is a must try – not only for the fitness freaks but also for people who want a boost in their energy levels, relief from regular muscle cramps and back pain. It is the go-to remedy for women with menstrual cramps and menopausal symptoms. It also helps in case of memory loss, candida overgrowth, and frequent headaches.
The spring greens in this smoothie are a rich source of folate- which helps reduce the risk of heart diseases, hair fall, and depression. Avocado, the most famous superfood, helps prevent osteoporosis, improves digestion, and provides antimicrobial action.
The smoothie is rich with Vitamin C, which helps in the absorption of iron, the formation of collagen and ensures proper functioning of the immune system. (2,3)
Directions: Grab a handful of spinach, 1 banana, 1 cup of blueberries, 3-4 strawberries and throw them in a blender with some water. Your nutrient loaded summer drink is now ready!
This lip-smacking combo delivers a multitude of health benefits: the bananas, berries, and spinach work together as a super healing force that fills your body with antioxidants, magnesium, selenium, potassium, zinc, chromium, and calcium. Their antiviral properties help prevent Candida overgrowth, heal a sluggish liver, correct hormonal imbalances, regulate high cholesterol, and also help treat ear pain, neck pain and jaw pain.
Blueberries, if consumed regularly, can help improve eye health, alleviate gastrointestinal issues and are also a useful remedy for UTIs. (4)
As a bonus, this smoothie can also help relieve problems like joint pain, dry or scaling skin, and heartburn.
Directions: Take a cup full of spinach, add 1 diced banana, 1 diced pear and a cup of pineapple to it. Blend these ingredients with water till a smooth mixture with liquid consistency is formed.
This smoothie is the smoothie for people with issues like Candida, liver dysfunction, bloating, diarrhea, ulcers, acid reflux, insulin resistance and intestinal inflammation.
Not only does the pear provide rich fiber content, but it also promises a dose of Vitamin K, Copper, Vitamin C and Potassium. Pineapple is rich in flavonoids, which are antioxidants with longer lasting effects and help reduce oxidative stress. (5)
This concoction helps combat a range of problems like dry skin, joint pain, heart palpitations and is anti-inflammatory in nature.
Directions: Take 2 large oranges, 1 banana, 2 inches of turmeric root, add a pinch of black pepper, 2 pinches of cinnamon and half a teaspoon of honey. Blend them till a smooth and frosty liquid is formed.
This smoothie is filled with all that is good and taste like a mocktail – what more could one ask for!
Turmeric has an anti-inflammatory compound called curcumin, which helps fight infections and keeps the immune system strong. In addition to reducing the risk of cardiovascular disease, turmeric also reduces congestion from a sore throat, cold or flu. It is the go-to addition to any health drink but must be combined with the right components to be effective.
As we read above, bananas are excellent for our digestive system as they aid in healing our mucosal layers. Oranges are literally sunshine in the form of food: they are rich in Vitamin C, protect our cells from damage, help our body make collagen (a protein that heals wounds and makes the skin smooth), and help prevent vision loss. Honey helps in internally healing ulcers and has excellent anti-bacterial properties. (5)
Directions: Take 2 ripe bananas, 1 cup of blueberries and some honey to taste. Mix them in a blender and serve immediately for the best taste.
This summer drink is the easiest and most convenient one to make and is packed with two superfoods. Bananas are easy on the gut and are rich in minerals like manganese, selenium, copper, boron, molybdenum, and potassium, which are essential for the optimum functioning of our body. They are also a powerful antiviral food.
Blueberries are a true brain food: they are rich in antioxidants and anthocyanins, which help boost the body’s defense against cancer-causing radicals and reduce oxidative stress. Berries are also excellent for correcting an imbalanced lipid profile.
8. Celery Juice
Directions: Take about 100 grams of celery stalk (without leaves), juice them in a juicer, or grind them with enough water to make one glass and then strain the mixture. It is best to drink this juice immediately after preparing it.
Celery is a great source of phytonutrients that reduce inflammation in the digestive tract, blood vessels and liver. It starves the waste bacteria, yeast, mold, fungi, and viruses present in our body and flushes them out of our vital organs. Celery also has enzymes that support digestion by improving the stomach lining, reducing instances of stomach ulcers, and modulating stomach secretions. (5)
Drinking celery juice regularly helps resolve ammonia permeability: a condition in which ammonia gas seeps through the intestinal lining and causes health issues like dental rot and brain fog.
So, the next time you’re looking for a solution to the unbearable heat, try out one of these super cool summer drinks, which will give you instant relief and improve the way your body functions internally.
2.https://chopra.com/articles/3-reasons-to-include-spring-greens-in-your-diet
3. https://www.medicalnewstoday.com/articles/270406#benefits
4. https://www.bbcgoodfood.com/howto/guide/health-benefits-blueberries
5. https://www.healthline.com/
Recipes created by: Ria Jain.

We all want to lead a sustainably healthy life. One way to ensure that is to stick to routines and habits. It is fundamental to retaining the command of our minds and emotions. Be it a positive attitude or making incremental changes, living a balanced lifestyle is indisputable.
Make it a practice and be intentional about what you are putting into your body. Remember not to fall for deceptive claims. The more you keep updating your knowledge about nutrition, the more you can see through false food labels and uneducated inferences.

The blog covers functional nutrition, chronic conditions, gut health, hormonal health, autoimmune conditions, sleep, mental health, and root cause analysis. Every article is written to help you understand what is actually happening inside your body, not just manage symptoms.
All articles are written by the content writers in collaboration with iThrive's clinical team of functional nutritionists, guided by the same methodology used in the ALIVE programme. The content is rooted in functional medicine and real clinical experience, not generic health advice.
No. The blog is an educational resource to help you understand your health more deeply. If you are experiencing symptoms or managing a chronic condition, a personalized Root Cause Analysis with a functional nutritionist is the right next step.
Book a Root Cause Analysis. For ₹2,500, a dedicated functional nutritionist will assess 60+ blood markers using optimal ranges and explain exactly what is driving your condition. It is the natural next step after reading about what might be happening in your body.
Yes. Many of our readers come with existing diagnoses and find the blog helps them understand why their condition developed and what their body actually needs. The articles are designed to give you clarity, not replace the guidance of a practitioner.